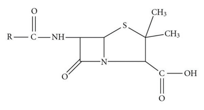
Beta-lactam antibiotics are a class of antibiotics characterized by the presence of a beta-lactam ring in their molecular structure. This ring is crucial for its antibacterial activity as it interferes with the synthesis of bacterial cell walls, ultimately leading to bacterial cell death.


Beta-lactam antibiotics are generally well-tolerated but can cause allergic reactions in some individuals. They treat many bacterial infections, including respiratory tract infections, skin infections, urinary tract infections, and more. However, overuse and misuse of these antibiotics have led to the emergence of antibiotic-resistant bacteria, posing a significant challenge to public health. Therefore, proper use and stewardship of beta-lactam antibiotics are crucial to preserving their effectiveness for future generations.
MOA of β-Lactam antibiotics:
Step 1 – Binding of the antibiotic to its target
When a β-lactam antibiotic enters the vicinity of a bacterial cell, it specifically seeks out and binds to enzymes known as penicillin-binding proteins (PBPs). These enzymes are located in the bacterial cell wall and play an essential role in the synthesis of peptidoglycan, the rigid structural polymer that provides strength and shape to the bacterial cell.
Step 2 – Inhibition of cross-linking
Under normal conditions, PBPs catalyze the cross-linking of peptidoglycan chains, a process that is vital for the construction of a stable and mechanically strong cell wall. The β-lactam antibiotic, by irreversibly binding to PBPs, blocks this enzymatic activity. As a result, the peptidoglycan strands cannot interconnect properly.
Step 3 – Formation of a weakened cell wall
Because cross-linking is prevented, the bacterial cell attempts to grow and divide with a cell wall that is incomplete and structurally deficient. The lack of proper reinforcement leaves the wall fragile, thin, and unable to withstand the internal pressure exerted by the cell’s cytoplasmic contents.
Step 4 – Cell wall breakdown and lysis
The weakened wall ultimately collapses under the stress of osmotic pressure. Water from the surrounding environment rushes into the bacterial cell, causing it to swell and rupture. In addition, the bacteria’s own autolytic enzymes (autolysins), which normally help remodel the cell wall, further degrade the defective wall, hastening cell lysis.
Step 5 – Death of the bacterial cell
With the wall destroyed, the bacteria can no longer maintain its shape or integrity, leading to irreversible cell death. This is why β-lactam antibiotics are not merely growth-inhibiting (bacteriostatic), but rather bactericidal—they actively kill the bacteria by dismantling its essential protective barrier.

β-Lactam Antibiotics are majorly divided into four categories:
a. Penicillins
b. Cephalosporins
c. Monobactams
d. Carbapenems
